院训:
诚信,仁爱,发展
服务热线:
0517-86808606
金湖县人民医院
分享到:
不限栏目
医院新闻
科室介绍
医师团队
医教科研
护理园地
党建工建
健康之窗
医院文化
医院环境
先进设备
医院创建
网站首页
医院概况
医院简介
领导团队
科室设置
发展历史
荣誉资质
医院新闻
医院新闻
通知公告
医讯
人才招聘
科室介绍
临床科室
医技科室
其他科室
医师团队
康复医学科
疼痛科
消化科
老年医学科
普外科
内分泌科
心内科
神经内科
神经外科
呼吸与危重症…
精神科
肾内科 风湿…
肿瘤血液科
介入科
骨科
泌尿外科
胸外科
口腔科
耳鼻喉科
眼科
产科
妇科
儿科
全科医学科
皮肤科
重症医学科
麻醉科
病理科
急诊科
功能科
磁共振
CT、放射科
医教科研
科教通知
学术活动
护理园地
护理动态
护士风采
党建工建
基层党建
健康之窗
健康科普
合理用药
医院文化
医院创建
医院新闻
医院新闻
通知公告
医讯
人才招聘
医院新闻
+更多
金医一线系列① I 急…
义诊预告|淮安市第一人民医…
义诊预告 | 10月18日,淮安…
金湖县人民医院成功为百岁老…
口腔健康 全身健康 | 金湖县…
通知公告
当前位置:
首页
-
医院新闻
-
通知公告
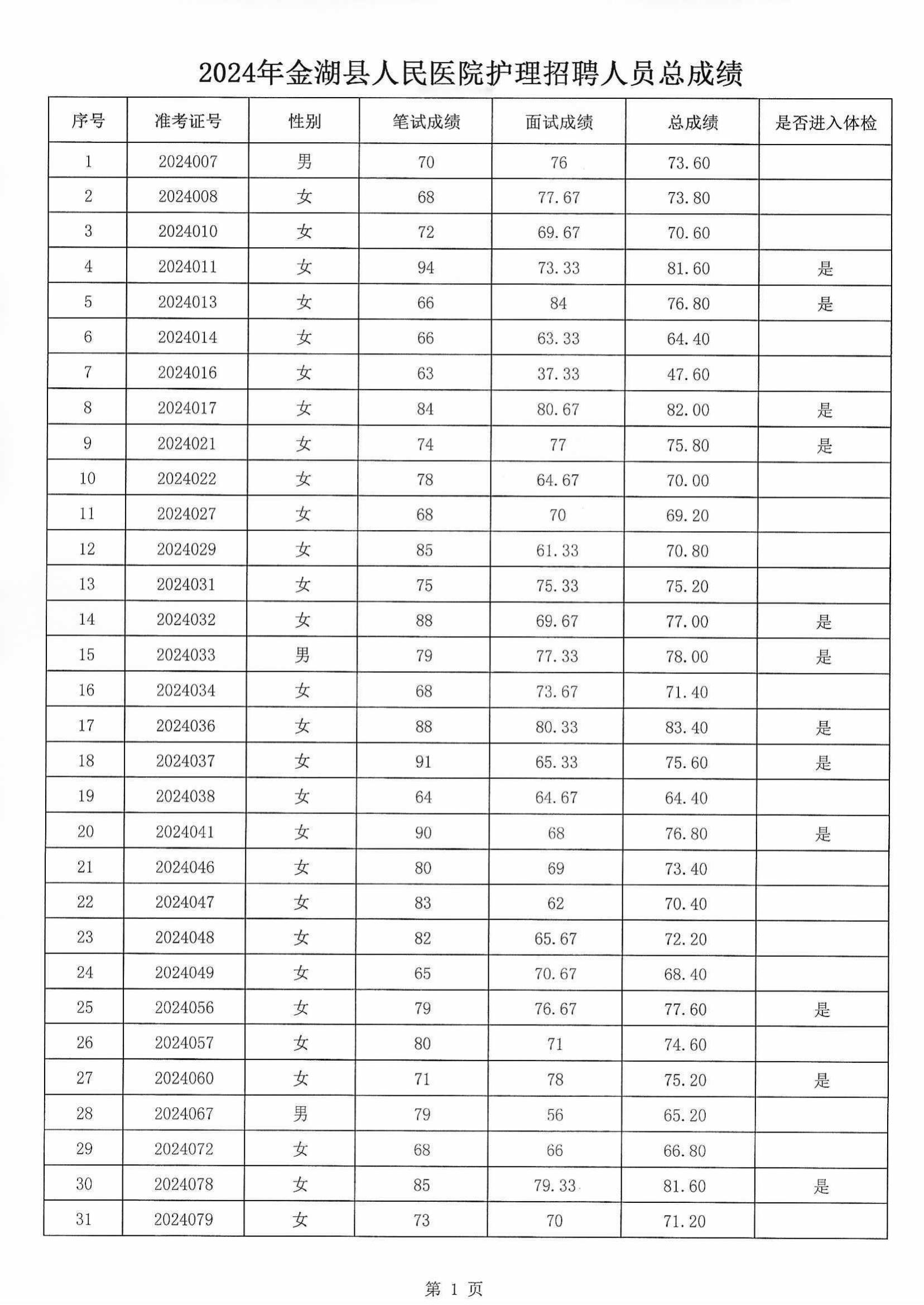
2024年金湖县人民医院护理招聘人员总成绩公示
发布时间:2024-06-01
点击量:
1439
上一页:
金湖县人民医院中药熏蒸治疗仪采购结果公告
下一页:
2024年金湖县人民医院护理招聘人员笔试成绩公示
返回列表
友情链接:
淮安市人民政…
淮安市卫生健…
金湖县人民政…
金湖论坛
网站首页
|
医院概况
|
医院新闻
|
科室介绍
|
医师团队
|
医教科研
|
护理园地
|
党建工建
|
健康之窗
|
医院文化
|
医院创建
地址:淮安市金湖县神华大道160号 电话:0517-86808606
版权所有:金湖县人民医院 备案号:
苏ICP备19019184号-1